Semmelweis University
Department of Medical Biochemistry
Reverse Phase Protein Array (RPPA) is an antibody-based proteomic approach enabling the quantification of the abundance of multiple proteins across multiple samples. Briefly, samples (lysates from tissues, cell cultures, serum, plasma or other body fluids) are printed on nitrocellulose-coated glass slides in the form of a dot blot microarray, and probed with monospecific antibodies. Each slide may contain thousands of dots, and each dot contains the entire proteome of the lysed sample.
RPPA: Overview
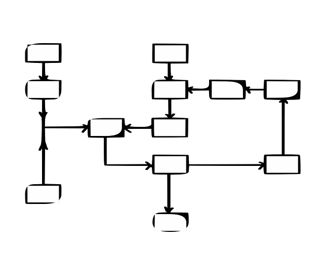
RPPA workflow is as follows:
Frozen tissue
Cell culture
Protein concentration of lysates adjusted to 1-2 mg/ml
Sample homogenization and extraction of proteins
Lysates loaded into 96-well plates
Lysates stored in dedicated ultrafreezers
Lysates loaded into 384-well plates in setial dilutions
Lysates printed onto nitrocellulose-coated glass-slides
Slides stained with monospecific primary antibodies, followed by IR-conjugated secondary antibodies
Slides stored in dessicators
Dot intensities are quantified by an IR-scanner
Bioinformatic analysis
RPPA: Overview
Sample submission
Antibody information
Protocols
Technical information
Forms
Contact
For Participants
Main